Министерство Образования Российской Федерации
Новосибирский Государственный Технический Университет
Кафедра Прикладной математики и информатики
Лабораторная работа №1
«Динамические ряды и трендовые модели»
Группа: ПМ-24
Студенты: Бергинов А.В.
Москвичева Ю.Г.
Преподаватель: Еланцева И.Л.
Вариант: 3
Новосибирск 2006
Цель работы:
Изучение особенностей динамических рядов и трендовых моделей. Способы вычисление их характеристик. Провести исследование на тип экономического развития. Сравнить качество аппроксимации наблюдений по методам скользящего среднего и аналитического выравнивания.
Порядок выполнения практической части:
1. Для данного динамического ряда найти во всех точках ряда базисные и цепные приросты, темпы роста и прироста, а также абсолютное и относительное ускорения.
2. Воспользовавшись формулами (1)-(4), проверить правильность вычисления полученных характеристик
3. Определить, какому типу экономического развития соответствуют представленные данные.
4. Провести сглаживание статистических данных методом скользящего среднего.
5. В соответствии с типом экономического развития подобрать функцию тренда, рассмотрев несколько альтернатив (использовать пакет анализа из MS Excel или другие статистические пакеты).
6. Сравнить качество аппроксимации наблюдений по методам скользящего среднего и аналитического выравнивания.
7. По результатам сравнения сделать выводы.
Необходимые формулы:
Абсолютные приросты:
базисный: ![]()
цепной: ![]()
Темпы роста:
базисный: 
цепной: 
Темпы прироста:
базисный: 
цепной: 
Формулы взаимоперехода между базисными и цепными параметрами ряда:

Дополнительные показатели скорости и интенсивности:
абсолютное ускорение: ![]()
относительное ускорение: 
Вариант:
3. Динамический ряд индекса физического объёма оборота розничной торговли:
|
год |
январь |
февраль |
март |
апрель |
май |
июнь |
июль |
август |
сентябрь |
октябрь |
ноябрь |
декабрь |
|
2002 |
112,1 |
110,3 |
114,3 |
117,1 |
125,3 |
116,7 |
115,6 |
118,4 |
119,9 |
119,3 |
126 |
122,5 |
|
2003 |
121,8 |
108,3 |
109,1 |
110 |
110,2 |
108,8 |
108,9 |
102,7 |
100,7 |
103 |
103,3 |
109,9 |
Ход работы:
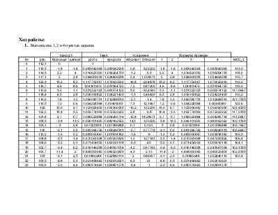
1. Выполнение 1, 2 и 4 пунктов задания.
Уважаемый посетитель!
Чтобы распечатать файл, скачайте его (в формате Word).
Ссылка на скачивание - внизу страницы.