Министерство образования и науки РФ
Красноярская архитектурно-строительная академия
Кафедра архитектуры гражданских и промышленных зданий
Пояснительная записка
к курсовому проекту
5055017-291400-05
Шестиэтажный двухсекционный жилой дом
со встроенным обувным магазином
2005 г.
Министерство образования и науки РФ
Красноярская архитектурно-строительная академия
Кафедра архитектуры гражданских и промышленных зданий
Пояснительная записка
к курсовому проекту
5055017-291400-05
Шестиэтажный двухсекционный жилой дом
со встроенным обувным магазином
Выполнил: Верещагина К.С
Принял: Касьянова Н.К.
2005 г.
Общая пояснительная записка
Состав проектно-сметной документации
Том 1.Общая пояснительная записка
Том 2.Рабочие чертежи Альбом АС - архитектурно-строительные решения
|
Технические решения, принятые в рабочих чертежах соответствуют требованиям экологических, санитарно-гигиенических, противопожарных и д.р. норм, действующих на территории Российской Федерации, обеспечивают безопасную для жизни и здоровья людей эксплуатацию объекта при соблюдении предусмотренных рабочими чертежами мероприятий Главный инженер проекта_______________________________________ Главный архитектор проекта_____________________________________ |
Содержание:
1. Общие данные …………………………………………………………….3
2. объемно-планировочные решения……………………………………….3
3. Конструктивные решения ………………………………………………..5
3. Инженерное оборудование……… ……………………………………….8
4. Противопожарные мероприятия …………………………………………8
5. Охрана окружающей природной среды …………………………………9
6. Мероприятия по технической эксплуатации здания …………………...9
7. Технико-экономические показатели ……………… …………………….9
1. Общие данные
Рабочий проект шестиэтажного двухсекционного 44-квартирного панельного жилого дома со встроенным обувным магазином разработан на основании задания на проектирование и других исходных данных.
Объект строительства расположен в городе Красноярске. На участке расположено асфальтобетонное покрытие, открытые стоянки автотранспорта. Инженерные сети непосредственно под зданием не располагаются.
Климатические характеристики места строительства:
- строительно-климатический район 1В;
- нормативная снеговая нагрузка для III района – 1.8кПа;
- нормативная ветровая нагрузка для III района – 0.38кПа;
- преобладающее направление ветра – З;
- температура наиболее холодной пятидневки обеспеченностью 0.92 - -400С;
- абсолютная минимальная температура воздуха - -530С;
- средняя температура отопительного периода - -7,10С;
- продолжительность отопительного периода – 234сут;
- среднемесячная влажность воздуха наиболее холодного месяца - 71%;
- грунтами основания являются – крупные пески;
- нормативная глубина промерзания – 1.5м;
- установившийся уровень грунтовых вод – 2м;
- вид агрессивности воды по отношению к бетону – неагрессивная;
- сейсмичность района – 5 баллов;
- рельеф участка спокойный.
2. Объемно- планировочные решения
Здание шестиэтажное двухсекционное со встроенным обувным магазином на 44 квартиры. Из них 11 – однокомнатных; 11- двухкомнатных; 11 – трехкомнатных и 11 четырехкомнатных квартир. Имеются балконы. При входе в жилую часть устраивается двойной тамбур (по расчету), при входе в Обувной магазин и на служебном входе устраивается один тамбур с завесой из теплого воздуха.
Чердак теплый.
Высота технического подполья переменная: под помещениями магазина – 1.840м, под жилой частью – 2.340м. Имеются два входа.
Высота этажа жилой части – 2.800м, магазина – 3.300м.
Высота здания вцелом – 22.370м.
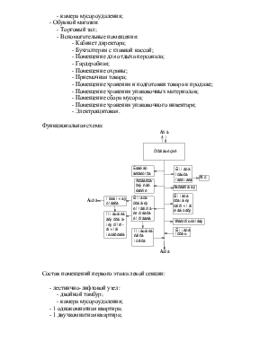
Состав помещений первого этажа правой секции:
- ЛЛУ жилой части:
- двойной тамбур;
- камера мусороудаления;
- Обувной магазин:
- Торговый зал;
- Вспомогательные помещения:
- Кабинет директора;
- Бухгалтерия с главной кассой;
- Помещение для отдыха персонала;
- Гардеробная;
- Помещение охраны;
- Приемочная товара;
- Помещение хранения и подготовки товара к продаже;
- Помещение хранения упаковочных материалов;
- Помещение сбора мусора;
- Помещение хранения упаковочного инвентаря;
- Электрощитовая.
Функциональная схема:

Состав помещений первого этажа левой секции:
- лестнично-лифтовой узел:
- двойной тамбур;
- камера мусороудаления;
- 1 однокомнатная квартира;
- 1 двухкомнатная квартира;
- 1 трехкомнатная квартира;
- 1 четырехкомнатная квартира.
Состав помещений одной секции типового этажа:
- лестнично-лифтовой узел:
- 1 однокомнатная квартира;
- 1 двухкомнатная квартира;
- 1 трехкомнатная квартира;
- 1 четырехкомнатная квартира.
3. Конструктивные решения
Конструктивная система стеновая. Конструктивная схема с продольными и поперечными несущими стенами. Строительная система - крупнопанельная. Плиты перекрытия опираются по контуру и трем сторонам, анкеруются между собой, и со стеновыми панелями, чем и обеспечивается пространственная жесткость конструкции.
Конструкции здания:
Фундаменты – на сваях с оголовниками и сборным железобетонным ростверком по ГОСТ19804-90 и серии 164-ИЖ4.1-1;
Стены наружные – трехслойные панели на гибких связях толщиной 350мм (по расчету, см. Приложение к КП) по ГОСТ 11024-84*;
Стены внутренние – железобетонные панели толщиной 120мм и 100мм по ГОСТ 12504-80;
Перекрытия – сплошные железобетонные панели толщиной 160мм по ГОСТ 12767-94;
Перегородки – гипсобетонные толщиной 80мм по ГОСТ 9574-90; перегородка между жилой частью и магазином (на первом этаже) устраивается из гипсокартонных листов по ГОСТ 6266-97 на относе 40мм от гипсобетонной стены по обеим сторонам (см. приложение к КП);
Санузлы – объемные сантехкабины по ГОСТ 18048-80*;
Лестницы – сборные железобетонные марши и сплошные площадки по ГОСТ 9818-85*;
Шахта лифтовая – сборные железобетонные блоки по ГОСТ 17538-82* и серии 1.117-1 выпуск 1-1;
Балконы – плоские железобетонные плиты толщиной 100мм по ГОСТ 25697-83; ограждения ж/б экраны;
Крыша – сборная железобетонная с теплым чердаком и внутренним
Уважаемый посетитель!
Чтобы распечатать файл, скачайте его (в формате Word).
Ссылка на скачивание - внизу страницы.