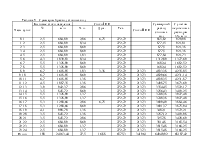
Значения расходов воды по часам смен представлены в таблице 2.
Таблица 2 – Расход воды на хозяйственно-питьевые нужды I промышленного предприятия.
|
Часы смены |
% от водопотребления в смену |
1 смена, м3/ч |
2 смена, м3/ч |
3 смена, м3/ч |
|
0-1 |
6,25 |
0,69 |
0,69 |
0,34 |
|
1-2 |
12,5 |
1,38 |
1,38 |
0,69 |
|
2-3 |
12,5 |
1,38 |
1,38 |
0,69 |
|
3-4 |
18,75 |
2,06 |
2,06 |
1,03 |
|
4-5 |
6,25 |
0,69 |
0,69 |
0,34 |
|
5-6 |
12,5 |
1,37 |
1,37 |
0,69 |
|
6-7 |
12,5 |
1,37 |
1,37 |
0,69 |
|
7-8 |
18,75 |
2,06 |
2,06 |
1,03 |
|
Итого: |
100 |
11 |
11 |
5,5 |
Расход на душевые нужды определяется по формуле:
Qд.=nд·500·0,75/1000, (9)
где nд – количество душевых сеток., шт;
500 – норма потребления воды 1 душевой сетки, л/час;
0,75 – коэффициент неравномерности водопотребления душевыми сетками.
Принимаем, что душем будут пользоваться только 20% от числа рабочих в смену: для 1-ой смены – 88 человек, для 2-ой смены – 88 человек, для 3-ей смены – 44 человека. Находим количество душевых сеток, зная что 5 человек могут подойти к душевой за час.
1 смена: nд=88/5=17,6, принимаем 18 душевых сеток.
Qд.=18·500·0,75/1000=6,75 м3/ч.
2 смена: nд=88/5=17,6, принимаем 18 душевых сеток.
Qд.=18·500·0,75/1000=6,75 м3/ч.
3 смена: nд=44/5=8,8, принимаем 9 душевых сеток.
Qд.=9·500·0,75/1000=3,38 м3/ч.
Расход на технологические нужды в год определяется по формуле:
Qтехн.год=q·M, (10) где q – норма водопотребления на единицу продукции, м3/т
М – мощность предприятия, т/год.
Qтехн.год=30·80000=2400000 м3/год.
Суточный расход на технологические нужды определяется по формуле:
Qтехн.сут. =Qтехн.год/n, (11)
где n – количество рабочих дней в году, принимаем 365.
Qтехн.сут. =2400000/365=6575,34 м3/сут.
Часовой расход на технологические нужды определяем по формуле:
Qтехн.час.= Qтехн.сут./24 (12)
Qтехн.час.= 6575,34/24=272,72 м3/ч.
Водопотребление II промышленного предприятия рассчитываем только для технологических нужд.
Расход на технологические нужды в год определяется по формуле:
Qтехн.год=q·M, (13)
где q – норма водопотребления на единицу продукции, м3/км
М – мощность предприятия, км/год.
Qтехн.год=21,8·400000=8720000 м3/год.
Суточный расход на технологические нужды определяется по формуле:
Qтехн.сут. =Qтехн.год/n, (14)
где n – количество рабочих дней в году, принимаем 255.
Qтехн.сут. =8720000/255=34196,08 м3/сут.
Часовой расход на технологические нужды определяем по формуле:
Qтехн.час.= Qтехн.сут./16 (15)
Qтехн.час.= 34196,08/16=2137,3 м3/ч.
Все полученные расходы заносим в таблицу 3.
Таблица 3 – Расчет суммарного водопотребления.
|
Часы суток |
Водопотребление населения |
Расходы на полив |
Местная промыш- ленность |
Расход воды на промышленном предприятии №1 |
Расход воды на промышленном предприятии №2 |
Итого |
|||||
|
% |
м3 |
Механиз. |
Ручной |
Х.-п. |
Душ. |
Тех. |
Тех. |
% |
м3 |
||
|
0-1 |
1,5 |
362,45 |
101,49 |
2,06 |
6,75 |
272,72 |
1,08 |
745,47 |
|||
|
1-2 |
1,5 |
362,45 |
101,49 |
0,34 |
272,72 |
1,06 |
737,00 |
||||
|
2-3 |
1,5 |
362,45 |
101,49 |
0,69 |
272,72 |
1,07 |
737,35 |
||||
|
3-4 |
1,5 |
362,45 |
101,49 |
0,69 |
272,72 |
1,07 |
737,35 |
||||
|
4-5 |
2,5 |
604,09 |
101,49 |
1,03 |
272,72 |
1,41 |
979,33 |
||||
|
5-6 |
3,5 |
845,72 |
101,49 |
0,34 |
272,72 |
1,76 |
1220,27 |
||||
|
6-7 |
4,5 |
1087,36 |
0,69 |
272,72 |
1,96 |
1360,77 |
|||||
|
7-8 |
5,5 |
1328,99 |
0,69 |
272,72 |
2,31 |
1602,4 |
|||||
|
8-9 |
6,25 |
1510,22 |
172,62 |
1,03 |
3,38 |
272,72 |
2137,3 |
5,91 |
4097,27 |
||
|
9-10 |
6,25 |
1510,22 |
172,62 |
0,69 |
272,72 |
2137,3 |
5,91 |
4093,55 |
|||
|
10-11 |
6,25 |
1510,22 |
172,62 |
1,38 |
272,72 |
2137,3 |
5,91 |
4094,24 |
|||
|
11-12 |
6,25 |
1510,22 |
172,62 |
1,38 |
272,72 |
2137,3 |
5,91 |
4094,24 |
|||
|
12-13 |
5 |
1208,17 |
643,24 |
172,62 |
2,06 |
272,72 |
2137,3 |
6,41 |
4436,11 |
||
|
13-14 |
5 |
1208,17 |
643,24 |
172,62 |
0,69 |
272,72 |
2137,3 |
6,40 |
4434,74 |
||
|
14-15 |
5,5 |
1328,99 |
172,62 |
1,37 |
272,72 |
2137,3 |
5,66 |
3913,00 |
|||
|
15-16 |
6 |
1449,80 |
172,62 |
1,37 |
272,72 |
2137,3 |
5,81 |
4033,81 |
|||
|
16-17 |
6 |
1449,80 |
172,62 |
2,06 |
6,75 |
272,72 |
2137,3 |
5,84 |
4041,25 |
||
|
17-18 |
5,5 |
1328,99 |
172,62 |
0,69 |
272,72 |
2137,3 |
5,65 |
3912,32 |
|||
|
18-19 |
5 |
1208,17 |
172,62 |
1,38 |
272,72 |
2137,3 |
5,47 |
3792,19 |
|||
|
19-20 |
4,5 |
1087,36 |
172,62 |
1,38 |
272,72 |
2137,3 |
5,31 |
3671,38 |
|||
|
20-21 |
4 |
966,53 |
172,62 |
2,06 |
272,72 |
2137,3 |
5,13 |
3551,23 |
|||
|
21-22 |
3 |
724,90 |
172,62 |
0,69 |
272,72 |
2137,3 |
4,77 |
3308,23 |
|||
|
22-23 |
2 |
483,27 |
1,37 |
272,72 |
2137,3 |
4,19 |
2894,66 |
||||
|
23-24 |
1,5 |
362,45 |
1,37 |
272,72 |
2137,3 |
4,00 |
2773,84 |
||||
|
Итого |
100 |
24163,44 |
608,94 |
1286,48 |
2416,63 |
27,5 |
16,88 |
6575,3 |
34196,1 |
100 |
69291,27 |
2.2. Режим работы водопроводной сети.
Режим подачи воды насосной станцией по часам суток принят из условия максимального приближения объемов подачи к водопотреблению. Работа насосной станции задана ступенчатой, при которой подача осуществляется разным числом насосов в отдельные часы суток. При подаче воды насосами больше объема водопотребления избыток поступает в водонапорный бак. В часы, когда водопотребление превышает подачу, недостающее количество воды поступает в сеть из баков. Для гарантированной бесперебойной подачи воды потребителю в системах водоснабжения предусмотрено использование таких сооружений, как аккумулирующие емкости, с помощью которых и обеспечивается сглаживание несоответствия режимов подачи, водозабора и водопотребления между насосными станциями второго и первого подъемов и водопотребителем, а также обеспечение необходимых напоров.
Регулирующая емкость резервуаров определяется в соответствии с заданным режимом поступления в них воды и их отбора.
Таблица 4 – Определение режима работы насосной станции.
|
Часы |
Водопотребление по часам в сутках, % |
Работа НС II, % |
Поступление воды в бак, % |
Расход воды из бака, % |
Остаток воды в баке, % |
|
0-1 |
1,08 |
3,4 |
2,32 |
- |
2,32 |
|
1-2 |
1,06 |
3,4 |
2,34 |
- |
4,66 |
|
2-3 |
1,07 |
3,4 |
2,33 |
- |
6,99 |
|
3-4 |
1,07 |
3,4 |
2,33 |
- |
9,32 |
|
4-5 |
1,41 |
3,4 |
1,99 |
- |
11,31 |
|
5-6 |
1,76 |
3,4 |
1,64 |
- |
12,95 |
|
6-7 |
1,96 |
4,55 |
2,24 |
- |
15,19 |
|
7-8 |
2,31 |
4,55 |
2,59 |
- |
17,78 |
|
8-9 |
5,91 |
4,55 |
- |
1,36 |
16,42 |
|
9-10 |
5,91 |
4,55 |
- |
1,36 |
15,06 |
|
10-11 |
5,91 |
4,55 |
- |
1,36 |
13,7 |
|
11-12 |
5,91 |
4,55 |
- |
1,36 |
12,34 |
|
12-13 |
6,41 |
4,55 |
- |
1,86 |
10,48 |
|
13-14 |
6,40 |
4,55 |
- |
1,85 |
8,63 |
|
14-15 |
5,66 |
4,55 |
- |
1,11 |
7,52 |
|
15-16 |
5,81 |
4,55 |
- |
1,26 |
6,26 |
|
16-17 |
5,84 |
4,55 |
- |
1,29 |
4,97 |
|
17-18 |
5,65 |
4,55 |
- |
1,1 |
3,87 |
|
18-19 |
5,47 |
4,55 |
- |
0,92 |
2,95 |
|
19-20 |
5,31 |
4,55 |
- |
0,76 |
2,19 |
|
20-21 |
5,13 |
4,55 |
- |
0,58 |
1,61 |
|
21-22 |
4,77 |
4,55 |
- |
0,22 |
1,39 |
|
22-23 |
4,19 |
3,4 |
- |
0,79 |
0,6 |
|
23-24 |
4,00 |
3,4 |
- |
0,6 |
0,00 |
|
Итого |
100 |
100 |
17,78 |
17,78 |
Таблица 5 – Определение регулирующей емкости резервуара чистой воды.
|
Часы |
Подача воды НС-I в РЧС, % |
Подача воды НС-II в бак, % |
Поступление воды в РЧВ, % |
Расход воды из РЧВ, % |
Остаток воды в РЧВ, % |
|
0-1 |
4,16 |
3,4 |
0,76 |
- |
2,3 |
|
1-2 |
4,16 |
3,4 |
0,76 |
- |
3,06 |
|
2-3 |
4,16 |
3,4 |
0,76 |
- |
3,82 |
|
3-4 |
4,16 |
3,4 |
0,76 |
- |
4,58 |
|
4-5 |
4,16 |
3,4 |
0,76 |
- |
5,34 |
|
5-6 |
4,16 |
3,4 |
0,76 |
- |
6,1 |
|
6-7 |
4,16 |
4,55 |
- |
0,39 |
5,71 |
|
7-8 |
4,16 |
4,55 |
- |
0,39 |
5,32 |
|
8-9 |
4,17 |
4,55 |
- |
0,38 |
4,94 |
|
9-10 |
4,17 |
4,55 |
- |
0,38 |
4,56 |
|
10-11 |
4,17 |
4,55 |
- |
0,38 |
4,18 |
|
11-12 |
4,17 |
4,55 |
- |
0,38 |
3,8 |
|
12-13 |
4,17 |
4,55 |
- |
0,38 |
3,42 |
|
13-14 |
4,17 |
4,55 |
- |
0,38 |
3,04 |
|
14-15 |
4,17 |
4,55 |
- |
0,38 |
2,66 |
|
15-16 |
4,17 |
4,55 |
- |
0,38 |
2,28 |
|
16-17 |
4,17 |
4,55 |
- |
0,38 |
1,9 |
|
17-18 |
4,17 |
4,55 |
- |
0,38 |
1,52 |
|
18-19 |
4,17 |
4,55 |
- |
0,38 |
1,14 |
|
19-20 |
4,17 |
4,55 |
- |
0,38 |
0,76 |
|
20-21 |
4,17 |
4,55 |
- |
0,38 |
0,38 |
|
21-22 |
4,17 |
4,55 |
- |
0,38 |
0,00 |
|
22-23 |
4,17 |
3,4 |
0,77 |
- |
0,77 |
|
23-24 |
4,17 |
3,4 |
0,77 |
- |
1,54 |
|
Итого |
100 |
100 |
6,1 |
6,1 |
В период максимального водозабора (12-13 ч) город потребляет 4436,11 м3/ч (1232,25 л/с), из которых 274,78 м3/ч (76,33 л/с) отбирает I промышленное предприятие по производству катионита КУ 2-8 из узла 6, а II завод по производству кабеля отбирает 2137,3 м3/ч (593,7 л/с) из узла 3.
Удельный отбор воды в период максимального водозабора определяется по формуле:
qуд.=(QВ-ΣQсоср.)/Σl, (16)
где QВ – водопотребление в час максимального водозабора, л/с;
Qсоср – расход водя для нужд всех промышленных предприятий в час максимального водозабора, л/с;
Σl – протяженность водопроводной сети, м, с учетом участков
Уважаемый посетитель!
Чтобы распечатать файл, скачайте его (в формате Word).
Ссылка на скачивание - внизу страницы.