Министерство образования Российской Федерации
Новосибирский государственный технический университет
Кафедра Прикладной математики
Лабораторная работа №3
по курсу «Технологии математического моделирования»
|
Факультет |
ПМИ |
|
Группа |
ПММ-01 |
|
Студенты |
Долгун А.А., Слюняев А.Ю., Поддымникова А.А. |
|
Преподаватель |
Рояк М.Э. |
Новосибирск, 2004
Постановка задачи
Производится моделирование нестационарного электромагнитного поля в слоистой проводящей среде. Исходное уравнение:
, где
- вектор-потенциал, определяемый
из условия
.
,
.
Задача в исходной трехмерной цилиндрической области сводится
к двумерной в
-координатах. Ток
течет по направлению
и поэтому имеет только
-компоненту:
,
.
Используя формулу
и учитывая, что
отлична от нуля только
-составляющая тока, получим в
цилиндрических координатах окончательное уравнение
.
Описание расчетной области
Для решения задачи была выбрана область 20x20 км с пятью слоями земли и слоем воздуха. Значения проводимости слоев земли следующие:


Источник тока – кольцо с радиусом 100м и шириной 25м, лежащее на земле (отрезок в двумерной области). В нем в начальный момент времени протекает ток 100А, который в следующий момент времени падает до нуля.
Описание расчетных экспериментов
Для исследования возможности метода определять наличие в
земле слоев с проводимостью, отличной от проводимости земли (заданной выше),
были проведены следующие исследования. На глубине 100м задавался слой с
проводимостью
и толщиной 400м. Затем такой же
слой задавался на глубине 500м. Для измерения магнитного поля на уровне земли
были помещены приемники на расстоянии 0, 300 и 500м от оси области, имеющие
размер 5.
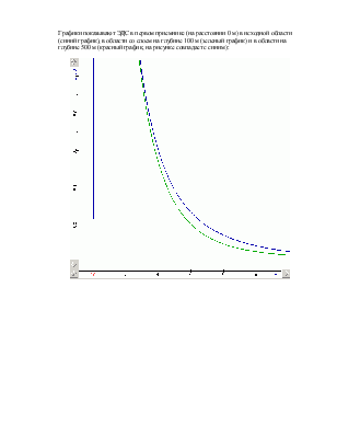
Графики показывают ЭДС в первом приемнике (на расстоянии 0 м) в исходной области (синий график), в области со слоем на глубине 100 м (зеленый график) и в области на глубине 500 м (красный график, на рисунке совпадает с синим):

Относительная разность значений ЭДС в первом источнике для слоев на глубине 100 м (зеленый график) и 500 м (красный график) по сравнению с исходной областью:

ЭДС во втором приемнике (на расстоянии 300 м от оси):

Относительная разность ЭДС во втором приемнике:

ЭДС в третьем приемнике (на расстоянии 500 м):

Относительная разность ЭДС в третьем приемнике:

Выводы:
Уважаемый посетитель!
Чтобы распечатать файл, скачайте его (в формате Word).
Ссылка на скачивание - внизу страницы.